Toggle navigation
首页
问答
文章
话题
专家
提问
会员
中心
登录
注册
继续教育
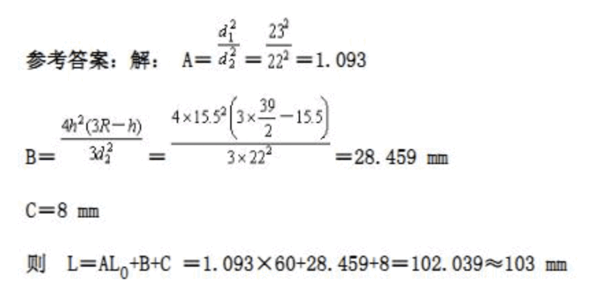
已知板束厚度Lo=60mm,钉杆直径d2=22mm,钉孔直径d1=23mm,钉头直径=39mm,钉头厚度h=15.5mm,调整数c=8mm,根据所给条件求所需铆钉长度。
发布于 2021-04-26 11:20:16
【解答题】
查看更多
关注者
0
被浏览
276
体验AI问答!更聪明、超智能!
一款基于GPT的超级AI助手,可以对话、创作、写文案!
👉 点击使用 - AI智能问答 🔥
卡姿兰小眼睛
2022-10-05
你真的快乐吗? 或许只是低着头不想说话……
1
个回答
默认排序
按发布时间排序
撰写答案
请登录后再发布答案,
点击登录
登录
注册新账号
有人回复时邮件通知我
关于作者
达达
这家伙很懒,什么也没写!
提问
868
回答
598
被采纳
598
关注TA
发私信
相关问题
1
钢桁梁拼装位置质量标准。
2
锚喷混凝土(或钢筋混凝土)衬砌质量标准。
3
半径为1200m,列车限高H为4000mm,曲线外轨超高为30mm,试计算曲线上内外侧建筑限界加宽合计值?
4
某施工选用C20混凝土。已知每立方米该混凝土所需水泥367kg,配合比为水泥∶沙∶石子=1∶1.95∶2.92,灰水比为0.45,试计算拌和4.05m3混凝土所需水泥、沙、石子和水各为多少?
5
用水准仪测A、B两点高差,后视A点读数a=1.731m,前视B点读数b=1.812m,问A、B两点高差hAB为多少?A、B两点哪点高?
6
已知桥头护锥边坡横向坡度1:1.5,护锥边坡纵向坡度为1:1,路基半宽3.20米,桥台半宽2.10米,护锥高度为6米,试计算椭圆长、短半轴值。
7
绘图说明靠近线路堆放道砟、片石、砂子等线路用料应如何堆放?
8
绘图说明隧道断面示意图。
9
请绘出中活载图式说明图。
10
请绘出使用坡度尺放样示意图。
发布
问题
手机
浏览
扫码手机浏览
分享
好友
在线
客服
回到
顶部